不登校モコ娘の2学期とIQ検査

※アフィリエイト広告を利用しています

子どものこと
子どものこと

モコ娘の備忘録、2学期分まとめエントリーです
(小学校はもう2期制なので2学期はないですけど…)

2学期分全部まとめたらえらい大作になりました
もっと小出しにすべきだった…

現在までの流れ

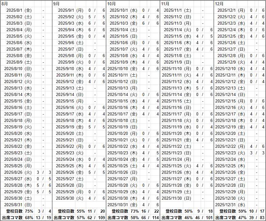
登校状況
2024年9月頭痛でたまに休む(5日程度休み)
10月頭痛がなくても休む(登校4日)
11月完全不登校(登校0日)
12月AMのみ登校2日(登校率12.5%)
2025年1月AMのみ登校5日(登校率29.4%)
2月AMのみ登校11日(登校率61.1%)
3月AMのみ登校13日(登校率92.8%)
4月登校10日(登校率62.5%)
5月登校12日(登校率60%)
6月登校11日(登校率62%/出席コマ率37%)
7月登校6日(登校率37%/出席コマ率39%)
8月登校率75%/出席コマ率68%
9月登校率55%/出席コマ率57%
10月登校率73%/出席コマ率58%
11月登校率50%/出席コマ率46%
12月登校率59%/出席コマ率47%

2学期の登校状況

出席コマ数/その日のコマ数
0/5は、5限授業で0限出席の意

もうエクセルで表を作って管理するようになっちまいました
10月あたりは週4登校ができたこともあったのですが、最近は週3登校が板に付きつつあります
のどの痛みや発熱で休んだ日もあって、体調が悪いと出席コマ数が50%を切ってしまうので、冬は特に気を付けなければなと思います

頑張って6割、普段5割程度の出席状況だと、学習内容がわからなくなりがちなので、7割くらい出れるようになるといいです…

学校での様子

夏休み明けすぐの林間学校

9月になってすぐ林間学校がありました

事前の準備なんかはきちんと自分でする子なので、毎日少しずつ頑張って準備をしていました

当日も行き渋りなく無事参加できました

モコ娘の5年生の目標は、『林間学校に参加する』だったので、無事今年の目標を達成しました

しかし帰ってきてからは、疲れたと言っていつもより学校へ行かない日が多くなりました
頑張ると反動がきてしまいます

親子レクに参加

モコ娘は4限まで参加して給食後に帰る…というサイクルだと次の日もわりと元気に登校できるので、6限までは出席しないことがほとんどです

親子レクは6限だったのですが、この日は最後まで頑張りました

昨年の秋は、ことごとくイベント全てすっとばしていたので、参加できるようになってきて嬉しいです

秋の授業参観に参加

春の授業参観に頑張って参加したらとっても疲れてしまって、
夏の授業参観は不参加でしたが、秋の授業参観は参加できました!

しかも大嫌いな体育!!

どうしたんだモコ娘!!

担任の先生が、体育の授業の時に保健室に行ってしまうときっかけがないからと、体育の授業の時に先生のお手伝い(タイム計測とか)を娘にやってもらっていたそうなんです
お手伝いの合間に、先生とキャッチボールをしてみる…おかげで後日ソフトボールの授業に参加できた、なんてこともあったそうです
(良い先生でありがたいです)

そういった先生の気遣いのおかげで、体育にちょっと参加できている気持ちになれたのか、まさかの授業参観の体育に参加でした

逆立ちをしていました

もちろんできていませんでしたが、参加できたことが大切だよね
ママも逆立ちなんてできなかったけど、別に問題なかったよ!

発達障害専門クリニックでIQ検査

やっとでIQ検査を受けて、結果をもらいました

一年前にIQ検査をした私の実弟との比較が度々出てきます
「弟」と表現された時は、マリモコの実弟を指します

WISC-V検査結果

モコ娘WISC-V検査結果

IQ(FSIQ):102
言語理解(VCI):100(平均的)
視空間(VSI):127(平均より高すぎる)
流動性推理(FRI):122(平均より高すぎる)
ワーキングメモリー(WMI):82(境界知能レベル)
処理速度(PSI):83(境界知能レベル)

モコ娘のIQ検査結果です

知能指数分布図

知的障害:IQ70以下(人口の3%)
境界知能:IQ70-85(人口の14%)
標準知能:IQ85-115(人口の66%)
平均以上:IQ115-130(人口の14%)
高IQ  :IQ130以上(人口の3%、メンサに入会できる)

引用:境界知能 – Wikipedia

IQ(FSIQ):102

総合IQ(FSIQ)は平均85~115の間にある為一見健常児です

言語理解(VCI):100

言語理解(VCI)は100と思いっきり平均でした

しかし学習の中で積み重ねていく知識の量は少なめとのこと
ま、学校休んでるから知識あんまり入らないよね
最近の子は本読まないしさ

視空間(VSI):127

視空間(VSI)は127平均を逸脱する高さでした…

「平均の上~極めて高い」の範囲になるそうです
地図読むのが得意な感じだそうです
パズル系がむちゃくちゃ得意みたいです

流動性推理(FRI):122

流動性推理(FRI):122も平均を逸脱する高さですね

「平均の上~非常に高い」の範囲になるそうです

ともなって必要な算数自体がちょっと苦手っぽかったそうです
いやいや、苦手が混じって122なら十分じゃないの

ワーキングメモリー(WMI):82

ここからが本番です

ワーキングメモリー(WMI)が82と境界知能レベルに低いです

「非常に低い~平均」の範囲となるそうです
見たり・聞いたりした内容を一度に記憶したり頭の中で整理できる情報量が少なめとのこと
一度にたくさん指示されると、全部把握できないってことでしょうかね

本人は自覚がないそうです、特にたくさん指示されて混乱したりしないらしい
耳で聞いた記憶

処理速度(PSI):83

処理速度(PSI)も83と境界知能レベルに低いです

こちらも「非常に低い~平均」の範囲となるそうです
目と手を使いながら素早い作業をすることが苦手だそうです

授業中の板書が追い付かないことが出てくるのでは、とこのとで、実際モコ娘は板書が他の人より遅くなりがちみたいです
授業の終わりまでには写し終わるから、そんなに困っていないようです

でもね、中学になったらきっと困るよね
「先生まだ板書終わってない!」と声を上げられない子だしね

WISC-V検査を受けての医師の見解

ワーキングメモリー(WMI):82
処理速度(PSI):83

というやばい数値が出てきたのに、先生はそれらには特にコメントせず、

言語理解(VCI):100
の中で類似・単語・知識・理解という区割りのうちの知識・理解の点数が低めだったから、モコ娘はASD(自閉スペクトラム症)の傾向がある、という診断でした

えっ!!??
それだけでASDになるの!?

そんで部分的な境界知能数値は放置なの!?

と、青天の霹靂でした

ASDだとはっきり診断されたわけではなく、検査結果を見るにその傾向が見られるとのこと
だって先生、別に娘の診察とかしてなかったですしね
だからまじで検査結果の紙を見た感想、みたいに聞こえました

言語理解の知識と理解は確かに低いが、他にも見るところあるんじゃないのかね…

私の知るASDは、もっと頭が固くて臨機応変ができなくてこだわりが強くて、もっともっと扱いにくい人間だって印象がありました

娘は赤ちゃんの頃から育てにくさがさほどなかったので、これには驚きました
ママ大好きママと離れたくないが強い、よくいるわがままめな末っ子って感じでした
育てやすいといっても、強情ではあったので、息子に比べたらイヤイヤ期はへとへとになりましたけども(おもちゃ買って買って怪獣になるやつ)

そして、ASDの冊子を1冊もらって、これで終わりです

で、その後の通院とかは全くありませんでした
ええ!?となりました
不登校で検査結果も懸念有だけど、特に通院とか療育とかは薦められないのね…
保護者が超積極的に療育してくれ!とかアプローチしていかないと駄目だったのかな、と反省しました
(学校の先生にも、クリニックの通院が切れてしまったのはもったいないと言われました)

参考IQ比較

参考までに…
マリモコ実弟のIQと比較

WAIS-Ⅳ(大人用IQ検査)WISC-V(子ども用IQ検査)モコ娘
IQ(FSIQ)78IQ(FSIQ)102
言語理解(VCI)85言語理解(VCI)100
知覚推理(PRI)71視空間(VSI)127
流動性推理(FRI)122
ワーキングメモリー(WMI)97ワーキングメモリー(WMI)82
処理速度(PSI)82処理速度(PSI)83

ASDの主な特徴がモコ娘に当てはまるのか?

あしたのクリニックさんのサイトから

対人関係・社会的コミュニケーションの特徴
言葉の理解や使い方の特徴(喋り方含む)
  • 表情や声のトーンから感情を読み取るのが苦手: 相手の表情や声の調子、仕草から、その人がどう感じているのか、何を考えているのかを察することが難しいことがあります。
  • 自分の表情や感情表現が乏しい、あるいは独特: 嬉しい、悲しいといった感情が表情に出にくかったり、状況にそぐわない表情をしてしまったりすることがあります。
  • 視線を合わせるのが苦手: 相手と目を合わせるのが苦手だったり、逆にじっと見つめすぎたりすることがあります。
  • 身振り手振りが少ない、あるいは独特: 会話中のジェスチャーが少なかったり、不自然だったりすることがあります。

表情や声のトーンから感情を読み取るのが苦手
苦手ではなさそう?
私が具合が悪かったり悲しそうだったりしたら、労わってくれます
(ASD傾向なし診断の弟は全く人の感情を読み取れない)

自分の表情や感情表現が乏しい、あるいは独特
嬉しい時はニコニコしているし、もっと嬉しい時はバタバタしています
運動会で自分の組が優勝した時は万歳して飛びはねてました
嫌なこと言われた時とかはじとっとした目線をくれます
泣くときはうわーんと大泣きします
私のじとっとした子どもの頃よりよっぽど喜怒哀楽を表現できていると思います
その表情おかしくね!?と思ったことはあまり感じたことがありません
写真を撮られるのが苦手なので、苦手そうな顔をすることがままありますが、自分も子どもの頃くっせー顔して写真に写っていたので、同類

視線を合わせるのが苦手
え?毎日視線を合わせて生活しています
逆に見つめられすぎたりも、覚えはありませんね
(ちなみにASD傾向なしの弟とは視線があまり合わない)

身振り手振りが少ない、あるいは独特
子どもの身振り手振りをあまり気にしてみたことがないので、独特の可能性もありますかね?
これは要確認ですが、10年間娘の手振り身振りが大して気にならないので、さほど独特ではないような気はします

対人関係構築の困難さ
  • 空気を読むのが苦手: その場の雰囲気や暗黙の了解を察知して、自分の言動を調整することが難しい場合があります。これにより、不用意な発言をしてしまったり、場違いな行動をとってしまったりすることがあります。
  • 暗黙のルールが分からない: 集団や社会における当たり前とされるルールやマナーが感覚的に理解できず、周囲から浮いてしまうことがあります。
  • 集団行動が苦手: 大人数での活動や、協調性が求められる場面で、どのように振る舞えば良いか分からず困難を感じることがあります。
  • 人との距離感がつかみにくい: 相手との物理的な距離や、心理的な距離感が適切にとれないことがあります。馴れ馴れしすぎたり、逆に壁を作ってしまったりすることがあります。
  • 孤立しやすい: 上記のような特性から、友人関係を築いたり維持したりすることが難しく、孤立してしまうことがあります。

空気を読むのが苦手
不用意な発言や場違いな行動??…もちょっとわかりかねます
学校の先生には、逆に授業中のルールを厳格に守り過ぎて息苦しくなってるのではと指摘されました
「授業中は絶対に席を立ってはいけない!!」みたいな思い込みがあって、授業中にランドセルの中に忘れた宿題を取る為に席を立てないところがあるそうです
そして一緒に生活していても、「何言ってんの?」と思うような発言はあまりわかりません
(ASD傾向なしの弟は毎日のように「何言ってんの?」と思うような不用意な発言と場違いな行動を取ってる)

暗黙のルールが分からない
上記と同じですが、ルールを守りすぎてガチガチになっていることがあるようです
逆にルールを守り過ぎるのでは
集団や社会で浮く程ルールやマナーがなさすぎるとは思わないです
今はルールとマナーを覚えて行っている最中なので、そりゃ初めてのことはミスることもあるのではないでしょうか
(ASD傾向なしの弟は暗黙のルールが全然わからなくて職場で叱責されること多数)

集団行動が苦手
単独行動が苦手な子だと思います
みんなと一緒がいい子です
綱引きとか好き
そりゃ、小学校の入学式の時はキョロキョロしたり、スカートをばさばさしたりしていましたが、小1でそれ厳しく求めます?

人との距離感がつかみにくい
馴れ馴れし過ぎはしないので、距離があったりすることはあるかもしません
でも、毎日お話するような友達に超遠距離で接したり、全然仲良くない人にゼロ距離で話したりとか、そういう違和感は見ててわからないです

孤立しやすい
学校で一緒に過ごす友人は何人かいるようです
保健室登校をしていた頃も、保健室に顔を見に来てくれる子たちがいて、娘の力になっていました
たまに我が家に遊びに来てくれる友人もいます
孤立…はしていないと思うのですが
(ASD傾向なしの弟は小中と孤立して友人はほとんどいませんでした)

限定された興味・こだわり・反復行動の特徴
特定の対象への強いこだわり
  • 興味のあることには異常なほど詳しい: 興味を持った特定の分野(電車、昆虫、歴史、アニメなど)に対して、非常に深い知識や情報を蓄積し、専門家のように詳しいことがあります。
  • 特定の対象に強い愛着や関心を示す: 特定の種類の物(ミニカー、特定のキャラクターグッズなど)を集めたり、決まった種類の本や映像ばかりを繰り返し見たりすることがあります。
  • 興味の範囲が狭く、他のことに注意が向きにくい: 興味のないことには全く関心を示さず、注意を向けるのが難しいことがあります。

ん?オタク全員に言える特徴かな??私のことかな?

興味のあることには異常なほど詳しい
娘に異常なほど詳しい知識は特にないです

特定の対象に強い愛着や関心を示す
娘の関心は…幼児:アンパンマン、小学校低学年:すみっこぐらし、小学校高学年:ゲーム・アニメ・アクセや小物作り・ポーランドボール、と全然特定って感じじゃないです
鬼滅の刃の立志編は兄妹で当時繰り返し観ていましたが、今はもう観てないです
立志編以降は1回ずつくらいしか観てないです

興味の範囲が狭く、他のことに注意が向きにくい
ゲームちょっと好き(息子ほどゲーマーではない)、アニメまぁまぁ好き、料理好き、小物作り好き、雪遊び好き、鉄棒好き、公園好き、プール好き、カードゲーム好き、お掃除ちょっと好き、わんこ好き、にゃんこ好き、ポーランドボール好き、東方ちょっと好き、お絵かき好き…
どうでしょうか、私は特に興味の範囲が狭いとは思わないです
私がウィンタースポーツ好きなので、頑張ってついてきてくれようとしています
(ASD傾向なしの弟の方がよっぽど興味の範囲が狭い)

同じ行動や手順へのこだわり
  • 習慣やルーティンを崩されるのを嫌う: 毎日の決まった手順や習慣に強くこだわり、それが崩れると強い不安を感じたり、混乱したりすることがあります。
  • 変化への強い抵抗: 予定の変更や環境の変化に対して強い抵抗感を示し、適応が難しいことがあります。
  • 反復行動(常同行動): 手をひらひらさせる、体を揺らす、特定の音を出す、同じ言葉を繰り返す(エコラリア)など、意味のないように見える特定の動きや行動を繰り返すことがあります。これは、自己刺激や不安の軽減のために行われると考えられています。

これら3項目の傾向は全くありません
毎日の手順や習慣なんてないし、毎日違う行動しているし、毎朝朝ごはんは好みで変える子ですね
先日の急遽大阪旅行も、抵抗なく適応していました
反復行動は、たまーに貧乏ゆすりをしていることはあるかも、最近見ないけど
私も子どもの頃貧乏ゆすりしてたな
(ASD傾向なしの弟は反復行動が目に付く)

感覚の過敏さまたは鈍麻さ
  • 過敏さ: 特定の音(掃除機、赤ちゃんの泣き声など)が耐え難くうるさく聞こえる、特定の肌触り(服のタグ、特定の素材など)が不快で着られない、蛍光灯の光が眩しく感じる、特定の匂いが耐えられない、特定の味や食感が受け付けられない(偏食)などがあります。
  • 鈍麻さ: 痛みや暑さ・寒さに気づきにくい、触られていることに気づかない、自分の体の位置感覚が掴みにくいなどがあります。強い刺激を求めて、壁に体を打ち付けたり、特定の物を舐めたりすることもあります。

どれもまったくありません
(ASD傾向なしの弟は鈍麻があって真夏にセーター・真冬に半袖をやってます)

クリニックでもらった冊子から

引用:子どもの自閉スペクトラム症ABC~特性を知って付き合っていこう~

自閉スペクトラム症の子どもの特性は?
こだわりの強さの特徴的な行動・エピソード
・順番や競争などで一番になれないとパニックを起こしたり、相手とトラブルになったりする

冊子を読んでも、当てはまらないことばかり…と思いましたが、これだけは部分的に当てはまるなと思いました
パニックを起こしたりトラブルになったりするほどではないですが、またか…とは思ってしまいます

モコ息子とモコ娘で一緒にゲームをしていると、娘が弱いので大体負けます
そうするとしくしく泣き出します
90%くらいの確率で泣きます
なので部分的に当てはまるかな?と思いました

幼児の頃は、トランプでも負けると涙目になっていましたので、相当な接待プレイをしていましたが、近年は勝っても負けても「もう一回あそぼ!」(エンドレス)と楽しそうです

ちなみに学校の100m走やマラソンでビリになっても泣いたことありません

ゲームで負けて泣くっていう行動が、ASDの傾向?

負けず嫌いの傾向と同じくくりかわかりませんが、モコ娘がドリルやプリントを解いている時に、「ここ間違ってるよ」と指摘すると、低学年の頃はすぐ泣きました
最近でも、精神状態が悪いと泣くこともあります
たまーに本当に状態が悪い時、うわーんとプリントを放って大泣きしたことがありました
負けず嫌いとはまた違うかな…なんか「間違っちゃダメ強迫観念」みたいなのに取りつかれてるのかなって思ったりします

精神科医竹内ひびきのメンタルヘルスChさんの課題から

解けなかったらASD!?発達障害かどうか分かるテスト

サリーアン課題

問題なく正解

アイスクリーム課題

問題なく正解

誕生日課題

問題なく正解

テストは正解だった

人の気持ちを考える、人の立場になって考える、っていうことがASDは苦手なことが多いそう
そういうことが苦手な人は間違えやすいテストでした

モコ娘、人の立場になって考えることは問題なくできそうです

モコ息子にも出題してみた

難なく正解

「なんでそんな当たり前のことをわざわざクイズにするの?」
と言われる始末…

ASD傾向があると言われても受け入れられない親?

ASDの主な特徴やテストを見てみましたが、私の主観ではほとんど当てはまらないと思いました
だから私の娘はASD傾向なんてないと思います

実弟のほうがよっぽどASD傾向があるのを実感しただけでした

発達障害を受け入れられず拒絶してる親だから、そう思っているだけなのでしょうか?
いえいえ、発達障害のようなきょうだいとずっと過ごしてきたので、自分の子どもが障害児かどうかくらいはわかりますよ…

本当にASDと診断されたら、通院をすることになっていたのではないかと思いますし、私は物凄く悩んでしまいましたが、医師の言う「傾向」とは、もしかしたらとても軽いものなのかもしれません

ASDかどうかは怪しいけれど、モコ娘本人が学校生活で何か困っていることは間違いないのです

モコ娘が困っていること
⭐人前で自分の考えを発表することが極端に苦手(解答はOK)
⭐わからない時周りの人に助けを求められない

IQ検査を受けて通級指導教室を紹介された

通級指導教室ってナニ!?

発達障害とか、特別支援学級とか、多少は知っていたつもりだったのですが、小学校の先生から「通級に通いませんか?」という提案をされて、通級?????となりました

初耳でした

先生に誘われたので、とりあえずオッケーをしたけれど、何をする教室なのかよくわからなかったですw

発達障害のお子さんがいる友人に聞いてみたら、特別支援学級に入れる程障害が明らかじゃないけど、学校生活で何かしら困り感のある児童が指導を受けられる教室だよ、とのことでした

困り感!!まさにそれ!!

通級指導教室

学級編制

小中学校の標準的な1学級の上限人数は、一般学級35人(小学校1年生のみ30人)に対し、特別支援学級は8人(特別支援学校は6人)であり、平成23年5月1日現在の平均人数は一般学級が28人(小学校)、33人(中学校)、特別支援学級と特別支援学校が3人である[4]。すべての学校に特別支援学級が設置されているわけではなく、学区を超えて通学する児童生徒もいる。

また担任に関しては教育職員免許状を有していることが条件であり、特別支援学校教員の免許状を有さなくても務めることができる。ただし、特別支援学校教諭免許状保有者が、例えば中学校教諭の免許状を有さなくとも中学部の担任をすることが可能であるのに対し、中学校に設置された特別支援学級の場合は、中学校教諭又は中学校助教諭の免許状がなければ就くことは不可能である。

小学校・中学校の学級
 1.通常の学級
 2.特別支援学級
 3.通級(通級指導教室・特別支援教室)
 4.少人数教室
 5.特別支援学校

引用:特別支援学級 – Wikipedia

ちゃんと通級っていう括りがありましたね
知りませんでした

特別支援学級

子どもの通う小学校に特別支援学級があります

PTA役員の時に見学したことがあったのですが、1クラス3人くらいで分散して、その子の学習しやすい環境を作っていて、感動しました

そして、ある児童は、算数は特別支援学級で授業を受て、国語は自分の在籍するクラス(普通学級)で受けて…とフレキシブルに対応していました
クラスの授業についていけない科目だけ利用できるとかあるんですよね!

特別支援学級って、私が小学生の頃は特殊学級って名前で、中等度(※)以上の知的障害じゃないと入ることができなかったのではないかと思う
特殊学級に行ってみたことがあるが、ずっと人の誕生日を暗唱しながら歩いている人や、ずっと飛び跳ねている人、机に座っていることがまず難しそうな人がいたクラスだった
とりあえず座っていいられれば、普通教室で授業を受けていたのではないかと思う

DA-知的障害と疾患

しかし現在の特別支援学級は当時と全く違っていて、机に座れないような子はあまり見当たりませんでした
そしてみんなそれぞれのスタイルで、しっかりと自分の学習に集中していました
(衝立に囲まれて一人で学習してる子、三人で先生を囲んで学習してる子達、教室の隅に散って下学習してる子達etc…)

障害が重めの児童は、今は特別支援学校に行くのでしょうかね

通級指導教室を体験

実は小学校内に通級指導教室なるものがあるらしく(知らなかった!!)、担任の先生とモコ娘で体験教室をしに行ってきました

先生達と自己紹介ゲームなどをして楽しんだそう

後日私も通級の先生との面談をしてきましたが、その時にちょっとカードゲームを先生方とやりました

家に帰ってから娘にその話をしたら、
「どんなカードゲームしたの?モコ娘もそれやりたいなー」
と楽しそうに聞いてくれました

カードゲームが大好きな子なので、通級の教室に色々なおもちゃやカードゲームがあるのがとてもわくわくするみたいです

最初はママと一緒に授業受ける…と消極的だったのですが、体験教室が楽しかったのと、ママもあの教室に行って楽しいことしてきたらしいぞというので、通級が楽しみになってきたようです

ママは来なくて良いと言われました

最初は、クラスの子と別の授業を受けるなんて嫌!なんて言われないかドキドキしたものです

これは通級の先生が上手なんだと思います
つかみはばっちりです

通級指導教室でトレーニング

来年から、目途が立ったら週に1回ほど1コマ授業分、通級指導教室で授業を受けることになります

そこで算数とか国語の授業をする…のではなくて、生きて行くために必要なスキルを身に付けるトレーニングをします
しかも先生が楽しくトレーニングをしてくださいます

モコ娘が困っていること
⭐人前で自分の考えを発表することが極端に苦手(解答はOK)
⭐わからない時周りの人に助けを求められない

この困り感を改善して、学校生活で困ることがないようになることが目標です

中学、高校と上がっていくと、嫌でもやらないといけないことが沢山ありますよね
上記2つはできないと結構大変です
大人になったらもっともっと大変になります

通級の先生からは、
「できるようになると思いますよ!」
と明るく前向きなお返事をもらったので、やっとで光が見えてきた気がしました

不登校と学校での困り感の関係

不登校と困り感がつながっていたのかはわかりません

正直不登校になる4年生の秋までは、娘が学校で困っていることがあるかなんて、考えたこともありませんでした
娘からも、学校で困ったことがあると聞いたこともありませんでした
低学年では、言語化も難しかったかもしれません
宿題忘れが頻発しているが、一応学校の学習にはついて行ってると思っていました
学習には一応ついて行ってたんだと思いますが、学習そのものではないところに困ったことが起きていたのではないかと思います

学校で困りながらも頑張っていた結果、4年生でどっと疲れが来てしまって、一度全てをお休みしたい気持ちになったのかな…と今は考えています

困ったことの一例は…
前回の授業を休んだ場合、今日は何をしたら良いかわからないことも多いでしょう
でも、モコ娘はクラスメイトに聞けないんです
先生に挙手して聞くなんてなおさらできません
なので、一時間誰にも聞けずにいてしまう…なんてことがあるのです
(友達が怖いとかじゃなくて、消極的過ぎて聞けない)

これを本人が教えてくれた時は、涙が出るかと思いました
なるべく自分からわからないことを発信できるようになったら、学校生活が辛くなくなると思いますので、頑張ってほしいです

勇気を、出す練習をするのかな?
人に何か言うときって、ドキドキしますもんね

勇者になれ!

コメント

  1. さいたこ より:

    わからない時周りの人に助けを求められない(ヘルプスキル)が身につくようになる療育がありますよ。放課後等デイサービスを探してみてはどうでしょうか。リタリコではやってくれるのでは。お近くにないでしょうか。

    • マリモコ マリモコ より:

      さいたこさん、コメントありがとうございます!
      ヘルプスキルって言うんですね!
      情報ありがとうございます
      通級でひとまず療育的なことをして下さるそうなので、それでもうまく行かない場合は、再度クリニックを受診の上、放課後デイサービスを検討したいと思います!

タイトルとURLをコピーしました